Lowest Common Ancestor of a Binary Tree 

LCA-feature-image.jpg

In computer science, a binary tree is a widely used structure for organising data hierarchically. The lowest common ancestor (LCA) in a binary tree refers to the lowest node that is an ancestor of two given nodes. It is a fundamental concept used to solve problems involving tree structures, network relationships, and hierarchical systems. In this blog, we will explore the lowest common ancestor in a binary tree with clear explanations and examples.

Table of Contents:

What is Lowest Common Ancestor (LCA) in a Binary Tree?

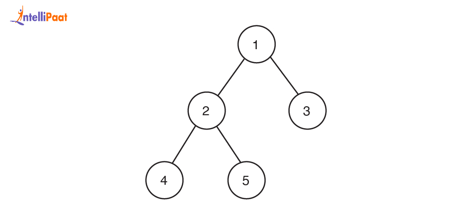
In data structures, a binary tree is a common way to organise data in a tree form. Each node in a binary tree has at most two children, which we call the left child and the right child. Many of the problems based on tree structure depend on finding relations between nodes, and an important concept that often comes up is the lowest common ancestor of a binary tree.

The lowest common ancestor (LCA) of two nodes in a binary tree is the lowest or deepest node that has both nodes as descendants. It is the common parent of both nodes and the farthest from the root.

Example:

What is Lowest Common Ancestor (LCA) in a Binary Tree
  • If we want to find the lowest common ancestor of 4 and 5, the answer will be 2, as node 2 is the parent of both 4 and 5.
  • If we want to find the lowest common ancestor of 4 and 3, the answer will be 1, as node 1 is the root and both 4 and 3 come under it.

So, the lowest common ancestor of nodes in a binary tree is used to help us find out the relationship between the two given nodes.

Unlock Python: Power Up Your Programming Skills!
Dive into real-world coding projects and become confident in writing clean, efficient Python code
quiz-icon

Problem Statement and Example

Suppose you have a binary tree and two specific values v1 and v2. Your task will be to find the Lowest Common Ancestor (LCA) of the nodes that have the values v1 and v2. The Lowest Common Ancestor of two nodes (e.g., node1 and node2) in a binary tree is the lowest node that has both node1 and node2 as descendants.

(Note: A node can be a descendant of itself.)

Example: The given picture below is the binary tree:

Problem Statement and Example

With the help of the above binary tree, find out:

  • LCA(4, 5)
  • LCA(7, 4)
  • LCA(5, 8)

Output:

Output LCA

Explanation:

  • Node 2 is the lowest node having both 4 and 5 as descendants.
  • Node 4 is the lowest node that includes both 7 and 4.
  • Node 1 is the lowest node containing 5 and 8.

Methods to Find Lowest Common Ancestor (LCA) in a Binary Tree

Let us explore different approaches that we can use to find the lowest common ancestor of a binary tree.

Approach 1: Using Root-to-Node Paths

Each binary tree has a distinct path from the root to each node. Therefore, there will be a path from the root to n1 and from the root to n2. The two paths will have some common nodes. The last node that is found in both of the paths is called the lowest common ancestor (LCA).

Algorithm Steps

  1. Find and store the path from the root to node n1 in a list and name it path1.
  2. Similarly, find and store the path that originates from the root to node n2 in a list and name it path2.
  3. Traverse through both lists and compare until you find a mismatch in node values.
  4. The node that had a matching value between the two lists, previous to the mismatch, is the LCA.

Java Implementation

import java.util.*;

public class Main {

// Node class
static class Node {
int val;
Node left, right;

Node(int val) {
this.val = val;
}
}

// Lists to store the path
static List<Integer> path1;
static List<Integer> path2;

// Function to find the path from the root node to the target node
static boolean findPath(Node root, int val, List<Integer> path) {
// Return false if we encounter a null node
if (root == null)
return false;

path.add(root.val);

// Return true if we encounter the target node
if (root.val == val)
return true;

// Return true if we find the target node in any of the subtrees
if (findPath(root.left, val, path) || findPath(root.right, val, path))
return true;

// Backtrack by removing the last element of the path list
path.remove(path.size() - 1);

// Return false if the target node is not found
return false;
}

// Helper function to find the LCA
static int findLCA(Node root, int n1, int n2) {
// Using a function to find the path from root to n1 or n2
if (!findPath(root, n1, path1) || !findPath(root, n2, path2)) {
System.out.println("Please enter valid input");
return -1;
}

int ind;
// Now iterate over the path lists found
for (ind = 0; ind < path1.size() && ind < path2.size(); ind++) {
// If there is a mismatch, break the loop
if (!path1.get(ind).equals(path2.get(ind)))
break;
}

// Return the node encountered just before the mismatch
return path1.get(ind - 1);
}

// Function to find the LCA
static int LCA(Node root, int n1, int n2) {
path1 = new ArrayList<>();
path2 = new ArrayList<>();
return findLCA(root, n1, n2);
}

public static void main(String[] args) {
// Making the following tree
// 1
// / \
// 2 3
// / \ \
// 4 5 6
// \ / \
// 7 8 9

Node root = new Node(1);
root.left = new Node(2);
root.left.left = new Node(4);
root.left.left.right = new Node(7);
root.left.right = new Node(5);
root.right = new Node(3);
root.right.right = new Node(6);
root.right.right.left = new Node(8);
root.right.right.right = new Node(9);

System.out.println("LCA of 4 and 5 is " + LCA(root, 4, 5));
System.out.println("LCA of 7 and 4 is " + LCA(root, 7, 4));
System.out.println("LCA of 5 and 8 is " + LCA(root, 5, 8));
// Passing wrong input
System.out.println("LCA of 5 and 10 is " + LCA(root, 5, 10));
}
}

Output:

Java Implementation

Explanation: In this case, the Lowest Common Ancestor of two nodes in a binary tree is calculated using the following Java code, and it is calculated by storing the path to the node starting at the root.

Python Implementation

# Node class
class Node:
def __init__(self, val):
self.val = val
self.left = None
self.right = None

# Lists to store the path
path1 = []
path2 = []

# Function to find the path from the root node to the target node
def findPath(root, val, path):
# Return false if we encounter a None node
if root is None:
return False

path.append(root.val)

# Return true if we encounter the target node
if root.val == val:
return True

# Return true if we find the target node in any of the subtrees
if findPath(root.left, val, path) or findPath(root.right, val, path):
return True

# Backtrack by removing the last element from the path list
path.pop()

# Return false if nothing worked out
return False

# Helper function to find the LCA
def findLCA(root, n1, n2):
# Using a function to find the path from root to n1 or n2
if not findPath(root, n1, path1) or not findPath(root, n2, path2):
print("Please enter valid input")
return -1

ind = 0
# Now iterate over the path lists found
while ind < len(path1) and ind < len(path2):
# If there is a mismatch, break the loop
if path1[ind] != path2[ind]:
break
ind += 1

# Return the node encountered just before the mismatch
return path1[ind - 1]

# Function to find the LCA
def LCA(root, n1, n2):
global path1, path2
path1 = []
path2 = []
return findLCA(root, n1, n2)

# Driver code
# Making the following tree
# 1
# / \
# 2 3
# / \ \
# 4 5 6
# \ / \
# 7 8 9

root = Node(1)
root.left = Node(2)
root.left.left = Node(4)
root.left.left.right = Node(7)
root.left.right = Node(5)
root.right = Node(3)
root.right.right = Node(6)
root.right.right.left = Node(8)
root.right.right.right = Node(9)

print("LCA of 4 and 5 is", LCA(root, 4, 5))
print("LCA of 7 and 4 is", LCA(root, 7, 4))
print("LCA of 5 and 8 is", LCA(root, 5, 8))
# Passing wrong input
print("LCA of 5 and 10 is", LCA(root, 5, 10))

Output:

Python Implementation

Explanation: In this case, we are going to use this Python code to compute the Lowest Common Ancestor of two nodes in a binary tree.

Complexity Analysis

  • Time Complexity: Traversal down a path is O(n), where n is the number of nodes, so the total is O(n).
  • Space Complexity: In the worst case (deepest leaf), path list size = O(h) and recursion depth = O(h)  =>O(h) overall, where h = height of the binary tree.

Get 100% Hike!

Master Most in Demand Skills Now!

Approach 2: Using Single Traversal (Recursive Method)

The single traversal recursive technique is an optimal way to find the lowest common ancestor of a binary tree in just a single pass.

Instead of determining the individual paths for each one of the nodes, like the first approach, this technique performs a recursive search of the tree only once and identifies the lowest common ancestor of a binary tree.

Algorithm Steps

1. Use two boolean flags, b1 and b2, to check whether both target nodes exist in the tree.

2. Define a recursive helper findLCA(node, n1, n2):

  • If node == null, return null.
  • If node.val == n1, set b1 = true and return node.
  • If node.val == n2, set b2 = true and return node.
  • Recursively call for left and right subtrees.
  • If both left and right results are non-null, the current node is the LCA.
  • Return whichever subtree gives a non-null result.

3. If both b1 and b2 are true, return LCA value; otherwise, print “Invalid input”.

Java Implementation

import java.util.*;

public class Main {

// Node class
static class Node {
int val;
Node left, right;

Node(int val) {
this.val = val;
}
}

// Boolean variables to check if the target nodes exist in the tree
static boolean b1, b2;

// Helper function to find the LCA
static Node findLCA(Node node, int n1, int n2) {
// Base case
if (node == null)
return null;

// Declare a variable to store the answer
Node ans = null;

// If the node's value matches n1
if (node.val == n1) {
b1 = true;
ans = node;
}
// If the node's value matches n2
else if (node.val == n2) {
b2 = true;
ans = node;
}

// Check for the target nodes in left and right subtrees
Node leftAns = findLCA(node.left, n1, n2);
Node rightAns = findLCA(node.right, n1, n2);

// If current node matches one of the targets
if (ans != null)
return ans;

// If targets are found in left and right subtrees
if (leftAns != null && rightAns != null)
return node;

// Otherwise, return the non-null subtree answer
return leftAns != null ? leftAns : rightAns;
}

// Function to find the LCA
static int LCA(Node root, int n1, int n2) {
// Initialize b1 and b2
b1 = false;
b2 = false;

// Find potential LCA
Node lca = findLCA(root, n1, n2);

// If both nodes exist in the tree
if (b1 && b2) {
return lca.val;
}

System.out.println("Please enter valid input");
return -1;
}

public static void main(String[] args) {
// Making the following tree
// 1
// / \
// 2 3
// / \ \
// 4 5 6
// \ / \
// 7 8 9

Node root = new Node(1);
root.left = new Node(2);
root.left.left = new Node(4);
root.left.left.right = new Node(7);
root.left.right = new Node(5);
root.right = new Node(3);
root.right.right = new Node(6);
root.right.right.left = new Node(8);
root.right.right.right = new Node(9);

System.out.println("LCA of 4 and 5 is " + LCA(root, 4, 5));
System.out.println("LCA of 7 and 4 is " + LCA(root, 7, 4));
System.out.println("LCA of 5 and 8 is " + LCA(root, 5, 8));
// Passing wrong input
System.out.println("LCA of 5 and 10 is " + LCA(root, 5, 10));
}
}

Output:

Java Implementation

Explanation: In this case, this code in Java is applied to determine the lowest common ancestor of two nodes in a binary tree with a single journey and U-B check flags to determine whether the two nodes exist.

Python Implementation

# Node class
class Node:
def __init__(self, val):
self.val = val
self.left = None
self.right = None

# Boolean variables to check if target nodes exist in the tree
boolean = [False, False]

# Helper function to find the LCA
def findLCA(node, n1, n2):
# Base case
if node is None:
return None

# Variable to store the answer
ans = None

# If the node's value matches n1
if node.val == n1:
boolean[0] = True
ans = node
# If the node's value matches n2
elif node.val == n2:
boolean[1] = True
ans = node

# Check for the target nodes in left and right subtrees
leftAns = findLCA(node.left, n1, n2)
rightAns = findLCA(node.right, n1, n2)

# If current node matches one of the targets
if ans is not None:
return ans

# If targets are found in left and right subtrees
if leftAns is not None and rightAns is not None:
return node

# Otherwise, return the non-null subtree answer
return leftAns if leftAns is not None else rightAns

# Function to find the LCA
def LCA(root, n1, n2):
global boolean
boolean = [False, False] # Initialize boolean list

# Find potential LCA
lca = findLCA(root, n1, n2)

# If both nodes exist in the tree
if boolean[0] and boolean[1]:
return lca.val

print("Please enter valid input")
return -1

# Driver code
# Making the following tree
# 1
# / \
# 2 3
# / \ \
# 4 5 6
# \ / \
# 7 8 9

root = Node(1)
root.left = Node(2)
root.left.left = Node(4)
root.left.left.right = Node(7)
root.left.right = Node(5)
root.right = Node(3)
root.right.right = Node(6)
root.right.right.left = Node(8)
root.right.right.right = Node(9)

print("LCA of 4 and 5 is", LCA(root, 4, 5))
print("LCA of 7 and 4 is", LCA(root, 7, 4))
print("LCA of 5 and 8 is", LCA(root, 5, 8))
# Passing wrong input
print("LCA of 5 and 10 is", LCA(root, 5, 10))

Output:

Python Implementation

Explanation: In this case, the Lowest Common Ancestor (LCA) of two nodes in a binary tree is computed in a single traversal by Python code using a set of flags that are used to ensure that both nodes are present.

Complexity Analysis:

  • Time Complexity: O(n)
    (Every node is visited only once.)
  • Space Complexity: O(h)
    (The recursive call stack can go up to the height of the tree.)

Approach 3: Using Parent Pointers and Depth Calculation

In previous techniques, we have utilized recursive traversals and path storage to find the lowest common ancestor of a binary tree. However, both of these approaches required traversing the tree multiple times. This third approach is designed for efficiency. By using parent references and comparing depths, LCA can be found in linear time with very limited recursion time

Algorithm Steps

  1. Store Parents and Levels:
    • Use a queue to perform a level-order traversal (BFS).
    • For each node visited, store its parent and its level (distance from the root).
  2. Equalize the Depth:
    • Compare the depth of both target nodes.
    • Move the deeper node upward until both are at the same level.
  3. Find the LCA:
    • Move both nodes one step at a time (toward their parents).
    • The first node where both meet is the LCA.
  4. Return Result:
    • If either of the nodes doesn’t exist in the tree, return -1.

Java Implementation

import java.util.*;

public class Main {

// Node structure
static class Node {
int val;
Node left, right;

Node(int val) {
this.val = val;
}
}

// Function to find LCA using parent map and depth map
static int LCA(Node root, int n1, int n2) {
if (root == null) return -1;

Map<Node, Node> parent = new HashMap<>();
Map<Node, Integer> depth = new HashMap<>();
Queue<Node> queue = new LinkedList<>();

parent.put(root, null);
depth.put(root, 0);
queue.add(root);

Node node1 = null, node2 = null;

// BFS to store parent and depth
while (!queue.isEmpty()) {
Node current = queue.poll();

if (current.val == n1) node1 = current;
if (current.val == n2) node2 = current;

if (current.left != null) {
parent.put(current.left, current);
depth.put(current.left, depth.get(current) + 1);
queue.add(current.left);
}

if (current.right != null) {
parent.put(current.right, current);
depth.put(current.right, depth.get(current) + 1);
queue.add(current.right);
}
}

// If either node doesn’t exist
if (node1 == null || node2 == null)
return -1;

// Equalize depth
while (depth.get(node1) > depth.get(node2))
node1 = parent.get(node1);

while (depth.get(node2) > depth.get(node1))
node2 = parent.get(node2);

// Move up together until both nodes match
while (node1 != node2) {
node1 = parent.get(node1);
node2 = parent.get(node2);
}

return node1.val;
}

public static void main(String[] args) {
Node root = new Node(1);
root.left = new Node(2);
root.right = new Node(3);
root.left.left = new Node(4);
root.left.right = new Node(5);
root.right.right = new Node(6);
root.left.left.right = new Node(7);
root.right.right.right = new Node(8);

System.out.println("LCA of 7 and 5: " + LCA(root, 7, 5));
System.out.println("LCA of 8 and 3: " + LCA(root, 8, 3));
System.out.println("LCA of 7 and 8: " + LCA(root, 7, 8));
}

}

Output:

Java Implementation

Explanation: Here, this Java code finds the lowest common ancestor of two nodes in a binary tree using BFS to build parent and depth maps, then equalizes depth and traces ancestors upward.

Python Implementation

# Node class
class Node:
def __init__(self, val):
self.val = val
self.left = None
self.right = None

# Function to find the LCA using parent pointers
def LCA(root, n1, n2):
# Dictionary to keep track of parents
parent = {}
# Queue for BFS traversal
q = []
# Parent of the root is None
parent[root] = None
q.append(root)

# Variables to store references to nodes with values n1 and n2
x, y = None, None

# BFS until both target nodes are found
while q and (x is None or y is None):
node = q.pop(0) # dequeue

if node.val == n1:
x = node
elif node.val == n2:
y = node

if node.left:
parent[node.left] = node
q.append(node.left)
if node.right:
parent[node.right] = node
q.append(node.right)

# If either node doesn't exist, LCA doesn't exist
if x is None or y is None:
return -1

# Set to store the path from x to root
ancestors = set()
while x:
ancestors.add(x)
x = parent[x]

# Move y up until we find a common ancestor
while y not in ancestors:
y = parent[y]

return y.val

# Driver code
# Constructing the tree
# 1
# / \
# 2 3
# / \ \
# 4 5 6
# \ / \
# 7 8 9

root = Node(1)
root.left = Node(2)
root.left.left = Node(4)
root.left.left.right = Node(7)
root.left.right = Node(5)
root.right = Node(3)
root.right.right = Node(6)
root.right.right.left = Node(8)
root.right.right.right = Node(9)

print("LCA of 4 and 5 is", LCA(root, 4, 5))
print("LCA of 7 and 4 is", LCA(root, 7, 4))
print("LCA of 5 and 8 is", LCA(root, 5, 8))
# Passing wrong input
print("LCA of 5 and 10 is", LCA(root, 5, 10))

Output:

Python Implementation

Explanation: Here, this Python code finds the lowest common ancestor of two nodes in a binary tree using BFS to track parent pointers and then tracing ancestors to find the first common node.

Note: Using custom objects as dictionary keys in Python requires overriding __hash__ and __eq__. Without this, the BFS code may give errors.

Complexity Analysis

  • Time Complexity: In the worst case, we need to traverse the entire tree, resulting in a time complexity of O(n) to find the LCA of a binary tree. Therefore, the overall time complexity becomes O(n). 
  • Space Complexity: When traversing a binary tree using a level order approach, the maximum size of the queue may be O(n). Thus, the overall space complexity will be O(n).

Applications of Lowest Common Ancestor

The concept of LCA is fundamental and has many practical applications. Below are some common use cases for LCA.

1. Family Trees and Genealogy

In a family tree, LCA indicates the nearest common ancestor for two people. If you want to find the nearest common ancestor of two cousins, the LCA would be their shared grandparent.

2. File Systems and Folder Structures

Modern file systems like Windows or Linux use a tree structure to store folders and files. Finding the least common ancestor of two files is used to find their common parent folder. This would be used for actions like merging, backup synchronization, and permission checking.

Common Mistakes and Optimization Tips

  1. Failing to Check the Existence of the Nodes: It is common for beginners to forget to check whether both of the nodes they are checking exist in the binary tree. Not checking for both nodes can lead to incorrect answers or errors, so keep in mind to verify that both target nodes exist before finding the lowest common ancestor of a binary tree.
  2. Not Specifying the Base Case for Recursion: When applying recursion, sometimes learners neglect to specify the base case for recursion. Always make sure to return null whenever the current node is null to revert the recursion.
  3. Confusing the Left and Right Subtree Results: Sometimes, students return the incorrect result when validating the left and right subtrees. If both left and right results are not null, then the current node to which the recursion is traversing is the lowest common ancestor of a binary tree.
  4. Using Multiple Traversals: Searching for the path for both nodes using separate traversals slows you down. Use a single traversal to directly find the lowest common ancestor of a binary tree.

Best Practices for LCA Implementation

  1. Check for Node Existence: Always check for the existence of both target nodes in the tree. If one node or both nodes do not exist, your algorithm should return a clear message or a null value.
  2. Validate Edge Cases: Ensure that your code validates the edge case when both nodes are the same or when one node is the ancestor of another.
  3.  Keep it Simple and Readable: Avoid unnecessary variables or a complicated logic flow. Use meaningful names for functions and short, clear comments for key steps.
  4. Use Space Efficiently: Try to avoid using extra memory when not necessary. For example, if your recursive approach has already shown you the value, then do not store the full path.
Start Coding in Python for Free: No Experience Needed!
Begin writing actual Python code through interactive, beginner-friendly modules completely for free.
quiz-icon

Conclusion

The lowest common ancestor of a binary tree is an important and useful concept that simplifies many problems related to tree data structures. If you read about different methods and best practices, you can find yourself implementing the LCA logic into real-world scenarios, like file systems and family trees. The stronger your understanding becomes, the better you will be at both programming and problem-solving, making it an essential topic for all programmers to understand.

Take your skills to the next level by enrolling in the Python Course today and gaining hands-on experience. Also, prepare for job interviews with Python Interview Questions prepared by industry experts.

Lowest Common Ancestor of a Binary Tree – FAQs

Q1. Is the Lowest Common Ancestor unique for any two nodes in a binary tree?

Yes, the LCA of two nodes in a binary tree is always unique because each node has a single path to the root, and the paths intersect at only one lowest common point.

Q2. Can the Lowest Common Ancestor be one of the given nodes?

Yes, If one of the nodes is an ancestor of the other, then that node itself becomes the Lowest Common Ancestor.

Q3. How does LCA differ in a Binary Tree and a Binary Search Tree (BST)?

In a BST, the LCA can be found using the property of ordered values, if both nodes are smaller or larger than the current node, you move accordingly. In a Binary Tree, you must explore both subtrees since values are not ordered.

Q4. What are the real-time systems that utilize the LCA concept?

LCA is widely used in version control systems (like Git) to find merge bases, XML document trees for determining shared parents, and network routing algorithms to find nearest common nodes.

Q5. What is the most memory-efficient way to find the LCA?

LCA is widely used in version control systems (like Git) to find merge bases, XML document trees for determining shared parents, and network routing algorithms to find nearest common nodes.

Q6. Why is LCA important in competitive programming and interviews?

LCA is a foundation for many graph and tree problems. It helps solve queries about relationships between nodes, shortest paths, and hierarchical structures efficiently.

About the Author

Software Developer | Technical Research Analyst Lead | Full Stack & Cloud Systems

Ayaan Alam is a skilled Software Developer and Technical Research Analyst Lead with 2 years of professional experience in Java, Python, and C++. With expertise in full-stack development, system design, and cloud computing, he consistently delivers high-quality, scalable solutions. Known for producing accurate and insightful technical content, Ayaan contributes valuable knowledge to the developer community.

Full Stack Developer Course Banner