What is Inferential Statistics?

Inferential-statistics-feature.jpg

While studying data analysis, you may have heard the terms descriptive and inferential statistics. Descriptive statistics allow you to understand data by summarizing it, while inferential statistics go a step further by helping you to make predictions or decisions about a large group based on a smaller sample.
In this blog, you will understand what inferential statistics is and how it is different from descriptive statistics in detail.

Table of Contents:

What is Inferential Statistics?

Inferential statistics is all about making conclusions or inferences about a population using data from a smaller sample. Since it is not possible to study the entire population always, it helps you to get meaningful insights without analyzing every single data point. Hence, inferential statistics is all about using probability and testing methods to guess or predict something about a bigger population by studying only a small part.

Importance of Inferential Statistics

  1. Inferential statistics helps you to make predictions about a large population by using a small sample.
  2. It also helps you to save time and cost by avoiding the need to study every individual.
  3. It also allows you to test assumptions and hypotheses about data.
  4. It helps to compare groups and find meaningful differences.
  5. It also helps you to measure the strength of relationships between different variables.
  6. It helps to support decision-making in businesses, healthcare, research, and more.
  7. It helps to add accuracy and reliability to the conclusions drawn from limited data.

Sampling Distribution and Central Limit Theorem

While you are studying descriptive and inferential statistics, there are two very important concepts that you need to know. They are: sampling distribution and the Central Limit Theorem (CLT). These two concepts help to build the foundation of Inferential Statistics. 

What is Sampling Distribution?

A Sampling Distribution is the probability distribution of the mean, median, or proportion that you calculate from repeated samples of the same population. Instead of working with the entire population, you need to work with smaller samples. Each sample provides you with a slightly different result, but if you have collected enough samples, the results form a predictable distribution, which is the sampling distribution.

Formula for Sampling Distribution of the Mean

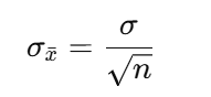
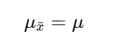
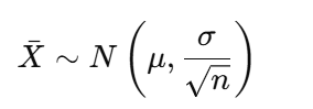
If the population has a mean μ and standard deviation σ, and the size of the sample is n, then:

  • Mean of the sampling distribution is:
Mean of Sampling distribution
  • Standard deviation of the sampling distribution, which is also called the Standard Error SE is:
Standard deviation for sampling distribution

This shows that larger samples provide more accurate estimates because the error decreases as n increases.

What is the Central Limit Theorem (CLT)?

The Central Limit Theorem is one of the most important ideas in statistics. It states that you take multiple random samples from a population and calculate the mean of each sample; the distribution of those samples will approach a normal distribution (bell curve), even though the original population is not normal, provided that the size of the sample is large enough ( n ≥ 30 ). 

Therefore, in simple words, the Central Limit Theorem explains why you should trust sample data to follow a normal curve. This makes it possible to use probability in inferential statistics.  

Formula for CLT      

For a population having a mean μ and standard deviation σ:

Formula for CLT

This shows that the average value from your sample will form a normal curve, and it will also have the same average as the population. But it will have fewer variations, which is also the standard error.

Get 100% Hike!

Master Most in Demand Skills Now!

Confidence Interval in Inferential Statistics

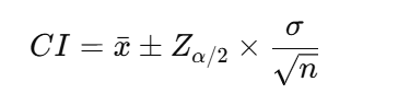
In inferential statistics, a Confidence Interval (CI) is a range of values that probably contains the original mean of the population. Instead of giving only one value, it provides you with a range of values where you are most likely to get the true population value. This allows you to measure the uncertainty of your estimation.

The formula for a confidence interval of the mean is:  

Formula for Confidence Interval

Where,

  1. denotes the sample mean (the average from your sample)
  2. Zα/2​  denotes the Z-value from the normal distribution (1.96 for 95% CI)
  3. σ denotes the standard deviation of the population
  4. n denotes the size of the sample.

Example: 

If you measure the average height of 100 people, a confidence interval of 95% might give you a range of height from 165 cm to 175 cm. This means that you can be 95% sure that the true average height of the entire population ranges between these two values.

Confidence intervals are used in inferential statistics examples such as surveys, research studies, and A/B testing. They not only show the estimate but also how precise the estimate is. 

Hypothesis Testing in Statistics

Hypothesis testing is a statistical method that is used to make decisions or draw conclusions about a population based on sample data. It also helps you to check whether a hypothesis about a population is true or not.

  1. Null Hypothesis (H0): It is the default assumption that there is no effect or difference.
  2. Alternative Hypothesis (H1): This is the assumption that you want to test, which suggests that there is an effect or difference.
  3. Test Statistic: It is the value that is calculated from the sample that allows you to decide whether you should reject H0 or not.
  4. p-value: It tells you how likely it is to get results like the ones you found if the original claim (H0) is actually true.
  5. Decision rule: If the p-value is less than the cutoff value (like 0.05), you have to reject the null hypothesis. If it is greater than the cutoff value, you have to keep the null hypothesis.

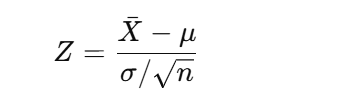
The formula for hypothesis testing is given below:

Formula for Hypothesis testing

Where,

  1. x denotes the average value that you get from your sample data.
  2. μ denotes the value that you have assumed to be true in the null hypothesis.
  3. σ  tells you how spread out the population data is.
  4. σ/√n tells you how much your average sample is expected to move around the real average.
  5. Z-score tells you how different the sample mean is from the assumed population mean in terms of the standard errors.

Once you have calculated the test statistic, you have to compare it with a cutoff value or look at the p-value to make a decision. If the p-value is smaller than the chosen level (like 0.05), you have to reject the null hypothesis. The formula for the p-value is given below:

Formula for p-value

Where, 

  • zobs    is the test statistic that you have collected from your data.
  • |zobs | is the absolute value, which shows only the distance from zero.
  • P(Z > |zobs |) is the probability of seeing a result as extreme or more extreme under the null hypothesis.

Common Errors in Testing

While performing inferential statistics, errors might occur during hypothesis testing. By understanding those errors, you can make better decisions. Given below are some of the common errors during hypothesis testing:

1. Type I Error (False Positive): This error occurs when you reject the null hypothesis even though it is actually true. You might think that there might be an effect or difference, but there is none.

2. Type II Error (False Negative): This error occurs because your sample does not represent the population perfectly. So, you miss an actual effect or difference.

3. Measurement Error: These are errors that are caused by inaccurate data collection tools or methods. This can make your results inaccurate and misleading.

4. Overgeneralization: This means making conclusions about people or situations that were not even studied. In inferential statistics, doing this will make your results unreliable.

Statistical Tests

In this section, we will discuss the different statistical tests that are used during Hypothesis Testing. So let’s get started:

1. Z-Test: Z-Test in inferential statistics is a statistical method that is used to check if there is a significant difference between a sample mean and a population mean. You can use it when the size of the sample is large and when you already know the standard deviation of the population. The Z-Test allows you to decide if the difference you see in your data is real or just a random chance. In simple words, the Z-test is like a tool that helps to compare your sample to the population to see if there is any difference.

2. T-Test: T-Test in inferential statistics is also a statistical method to check if there is a significant difference between the sample mean and the population mean, or between the means of two groups. You can use it when the size of the sample is small (usually less than 30) and the standard deviation of the population is unknown. The T-test is a very common method that is used in real-world studies, like comparing the average scores of two different classes or testing whether a new drug is better than the old. Hence, in simple words, the T-Test is a tool that helps you to make decisions about small samples when you don’t know the details of the full population.

3. Chi-Square Test: A Chi-Square Test in inferential statistics is used to check if there is a relationship between two categorical variables or if the data you have observed fits with what you have expected. It can be used when your data is in the form of counts or frequencies, and not averages. In simple words, the Chi-Square Test allows you to test patterns in categories and find out if the differences are real or just random.

4. ANOVA: ANOVA, which stands for Analysis of Variance, is used to check if there are any significant differences between the means of three or more groups. Instead of comparing the groups one-by-one, ANOVA looks at all the groups together and tells you that at least one group is different. In simple words, ANOVA helps you to compare multiple groups at once so that you can find out whether the differences you see are real or just due to chance.

Regression Analysis in Inferential Statistics

Regression Analysis is a method that is used to study the relationship between variables and make predictions. It also helps you understand how one variable changes when another variable changes. For example, you use regression analysis to see how the salary of a person depends on their years of experience, or how sales increase when the budget for advertising goes up.

The basic form is the linear regression, where you have to draw a straight line that fits your data points in the best way. This line shows the trend and helps you predict the outcomes of the future. Regression analysis allows you to study past data and predict future outcomes.

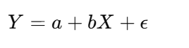
Given below is the formula for linear regression:

Formula for Regression analysis in Linear Regression

Where,

  1. Y denotes the dependent variable (the outcome that you want to predict).
  2. a denotes the intercept (the starting value of Y when X = 0).
  3. b is the slope ( how much Y changes when X increases by 1 unit).
  4. X is the independent variable (the factor used to predict Y).
  5. ϵ is the error term (the part of Y that cannot be explained by X).

Difference Between Descriptive and Inferential Statistics

Aspect Descriptive Statistics Inferential Statistics
Meaning It summarizes and describes data you already have. It uses sample data to make predictions or conclusions about a population.
Purpose To organize and present information clearly. To test hypotheses, estimate, and make decisions about a larger group.
Scope Deals only with the collected data. Goes beyond the data to draw conclusions about the population.
Examples Mean, median, mode, percentages, charts, and tables. Hypothesis testing, confidence intervals, regression, and ANOVA.
Question Answered “What does the data show?” “What can we say about the population based on the sample?”

Applications of Inferential Statistics

1. Medical Research: It help to check if a new treatment works better by studying samples of multiple patients.

2. Business Decisions: It also helps to predict customer behavior, like the demand for products from small surveys.

3. Education: It also helps to check if a new teaching method improves the process of learning using classroom samples.

4. Politics: It also estimates the outcomes of elections by analyzing data from a group of voters.

5. Manufacturing: It ensures the quality of the product by testing samples instead of the whole batch.

Best Practices in Inferential Statistics

1. Use Proper Sampling: You should always collect data from a random and representative sample.

2. Check Assumptions: You need to make sure that conditions like normality and equal variance are met before you apply the tests.

3. Choose the Right Test: You should always pick statistical tests that match your data type and research question.

4. Report Confidence Intervals: You should always show a range of values instead of showing just one estimate.

5. Avoid Overgeneralizing: You should always draw conclusions within the limits of your sample and data.

Become a Data Science Professional
Transform raw data into actionable insights, master Python, Machine Learning, and AI, and build a successful data science career.
quiz-icon

Conclusion

Inferential statistics is one of the most powerful tools in data analysis because it helps you move beyond just describing numbers to actually making decisions and predictions. Descriptive statistics summarize the data, while inferential statistics let you test hypotheses, build models, and make conclusions about a whole population using just a sample. Whether in business, healthcare, politics, or education, these examples show how important it is in real-world decision-making. By following best practices and applying the right methods, you can use inferential statistics to draw accurate and meaningful conclusions from data.

To enhance your skills and stay ahead in your career, enroll in our Data Science Course and gain practical, hands-on experience. Also, get interview-ready with our Data Science Interview Questions, prepared by industry experts.

What is Inferential Statistics? – FAQs

Q1. Why is inferential statistics important in daily life?

It allows you to make decisions and predictions without needing data from the whole population.

Q2. Can inferential statistics work with small samples?

Yes, as long as the sample is random and represents the population well.

Q3. What is the biggest challenge in using inferential statistics?

Making sure the data is collected properly and the right test is chosen.

Q4. Do inferential statistics always give correct results?

No, there’s always some level of uncertainty, which is why confidence intervals are used.

Q5. How are computers used in inferential statistics?

They quickly perform complex calculations and run tests that would be hard to do manually.

About the Author

Technical Writer

Yash Raj Sinha is a dedicated Data Scientist with hands-on experience in Data Analysis, Machine Learning, and Technical Writing. Proficient in Python, SQL, and Java, he has worked on projects involving predictive modeling, intelligent chatbots, and data-driven solutions. His strength lies in translating complex datasets into actionable insights and building robust ML models, driven by a strong passion for AI/ML and continuous learning.

EPGC Data Science Artificial Intelligence